近日,广东省生殖医院男科联合体重管理团队合作,在国际营养学权威期刊《Frontiers in Nutrition》(JCR Q1, IF 5.1)online发表题为《Does abnormal weight affect sperm quality? A case-control study based on bioelectrical impedance analysis》的最新研究成果(doi: 10.3389/fnut.2025.1642836.)。该研究首次证实了体脂百分率(PBF)呈球形度关系影响精子质量,较体质指数(BMI)更为精准,为男性生育力评估和临床干预提供了新的科学依据。

体重增加会导致代谢、循环和全身变化,并诱发多种身心疾病。但异常体重与男性生育力的相关性仍存在较大争议,部分地区(如黑皮肤人种)肥胖人群的生育力并不低于体重正常者,体重与男性生育力之间的关系已成为研究焦点。
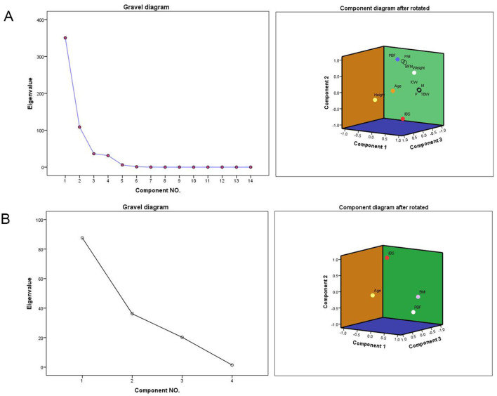
为进一步评估异常体重与精子质量的相关性,了解异常体重对精子质量的影响程度,广东省生殖医院男科联合体重管理团队开展了一项基于生物电阻抗的横断面研究,回顾性分析2024年4月至2025年4月期间在广东省生殖科学研究所(广东省生殖医院)接受生育力评估的137例男性的临床数据。
研究比较了正常精子组(A组,n = 29)、少弱精子组(B组,n = 58)和无精子组(C组,n = 50)之间的精子参数与生物电阻抗分析结果的差异,通过多种统计学方法分析各指标之间的内在联系和规律。研究结果证实:异常体重与精子质量之间存在球形度相关,并非传统观念中的线性相关,这也解答了为什么部分男性体重下降而精子质量并不改善。

进一步分析显示,在蛋白质(P)、矿物质(M)、体重指数(BMI)、In Body评分(IBS)、脂肪成分[含体脂百分比(PBF)、体脂量(BFM)、去脂量(FFM)、脂肪量指数(FMI)]、水成分[含全身水分(TBW)、细胞内水(ICW)、细胞外水(ECW)]、质量比例[含体脂质量(BCM)、软组织体重(SLM)、和骨骼肌质量(SMM)],共有14个身体成分指标中,体脂百分率(PBF)会比传统观念中的体质指数(BMI)与精子参数的相关性更高,是影响精子参数的独立成分指标。研究强调,在通过体重控制来改善精子质量时,建议指导尽可能降低体脂百分率PBF,而不仅仅是体质指数BMI,才能更精准获得理想效果。

体质指数BMI是反映身高和体重之间的关系,虽广泛应用于体重评估,但不能直接指示体内脂肪堆积的程度。而体脂百分率PBF是身体脂肪含量的反映,脂肪含量与睾丸生精环境中的众多细胞因子密切相关,尤其会影响雄激素(睾酮)的分泌,进而干扰了生精小管中间质细胞、支持细胞和生精细胞的复杂功能,导致精子发生和成熟出现异常。因此,研究团队建议将体脂百分率PBF作为评估精子参数的更准确的身体成分指标。
随着“预防为主”的健康理念日益普及,体重管理已成为促进公众健康的重要措施。男性生育能力的提高也将受益于体重控制,广东省生殖医院男科联合体重管理团队率先在该领域进行探索,从身体成分结构出发,分析不同身体成分与精子参数间的相关性,提取出与精子发育密切相关的主要因素,尝试通过指导调整身体成分结构比例来提高男性生育力,为促进人口发展提供创新性的指导方法。此项突破不仅深化了对体重与生育力关系的理解,也为临床制定个性化体重管理方案提供了重要参考,具有广泛的临床与社会意义。
知多D:肥胖如何影响男性生育力?
肥胖可能会引起男性不育。
首先,肥胖的男性阴囊周围有过多的脂肪堆积,会减少散热造成睾丸局部温度升高,降低精液质量,增加精子DNA损伤并引起氧化应激反应。
其次,肥胖会导致体内雄激素转化为雌激素,使睾酮水平下降,导致继发性男性性腺机能减退,同时睾酮也是调控精子发生的重要物质,睾酮降低也会影响精子生成。
另外,肥胖还可能导致“三高”,也就是代谢综合征,会影响男性性腺功能,导致精子生成障碍。所以,肥胖所引起的精液质量低下、精子DNA损伤等负面影响是导致受精障碍、妊娠失败、体外受精囊胚形成率和着床率降低等不良后果的重要因素,对育龄男性的生殖健康产生严重影响。

高效减重方法
控制饮食:平常要注意饮食,不要暴饮暴食。避免经常吃宵夜,避免食用高脂、高胆固醇的食物,如肥肉、动物内脏等。每次吃饭时可以七八分饱,饮食上尽量以蔬菜、水果代替主餐,如黄瓜、苹果、香蕉等,以减少热量的摄入,避免过多脂肪进入人体。
加强运动:运动是比较好且健康的减肥方法,可以进行跑步、打羽毛球、跳广播操、爬山、骑自行车等运动。每天坚持30分钟以上的时间,可以燃烧脂肪,使脂肪逐渐减少。
禁烟酒:吸烟会降低基础代谢,抑制食欲但导致肌肉流失,且戒烟初期易发胖。酒精热量高(每克7千卡),且身体会优先代谢酒精,延缓脂肪燃烧,增加内脏脂肪堆积。同时,酒精刺激食欲,容易导致过量进食。两者均会扰乱内分泌,影响睡眠质量,进一步阻碍减肥效果。
专家建议
减重应看体重指数特别是体脂百分比的变化。如果通过科学饮食配合适当运动,肌肉增加、体脂减少,即使体重没变,体内的脂肪含量也会相应减少。
专家介绍
刘晃
男科负责人
副主任医师、医学博士

擅长
男性不育症、无精子症、生育力评估、生殖发育异常、性功能障碍和避孕节育的诊治,尤其在显微泌尿生殖男科手术、计划生育手术、修复整形手术等方面有深入研究。
订阅后可查看全文(剩余80%)